Punjab floods LIVE UPDATES: Indian Army swings into action, deploys heavy-duty amphibious vehicles for rescue operation
Incessant rainfalls in Punjab have raise alarming concerns putting border districts on the edge, including Amritsar, Pathankot, Gurdaspur among severely affected.
Aug 29, 2025 11:00 AM
LIVE UPDATES TO THIS BLOG END HERE
Aug 28, 2025 04:41 PM
Administration intensifies evacuation efforts on war footing
- Over 50 families have been evacuated since morning, Army deployed to bolster relief operations
- DC urges flood-affected villagers to relocate to safe zones
- SDRF teams operating 24/7; helpline numbers available for assistance
Deputy Commissioner Amit Kumar Panchal provided an update on the ongoing flood situation in Kapurthala district, stating that the Beas River is currently flowing at 2,31,000 cusecs. He urged residents in low-lying areas to immediately contact the district administration through designated helpline numbers to facilitate their safe evacuation.
Emphasizing the administration’s commitment to protecting lives, the Deputy Commissioner assured that every possible measure is being taken to ensure the safety of both people and property. He highlighted that the State Disaster Response Force (SDRF) teams are working tirelessly around the clock, with more than 50 families already relocated to safer areas since early morning. To expedite relief operations, the Indian Army has been called in to provide additional support.
The Deputy Commissioner appealed to residents, particularly those in flood-affected villages, to cooperate with the administration and move to designated relief camps to prevent any loss of life. For immediate assistance, the public can contact the following helplines:
- District Administration Control Room 62800-49331, 01822-231990*
- Sultanpur Lodhi Sub-Division Flood Control Room: 01828-222169*
- Bhulath Sub-Division Helpline: 01822-271829
Aug 28, 2025 04:39 PM
Beas water rises – Kapurthala administration issues alert
The water level in the Beas River is continuously rising, due to which the situation is worsening, triggering a sense of fear amongst the people. In view of the situation the Kapurthala administration has issued an alert for the public, urging people to stay vigilant and reach shelter camps established by the adminsitration.
Aug 28, 2025 04:35 PM
Punjab CM Mann visits River Beas
Punjab CM Mann visited river Beas in view of the rising water level and subsequent flood situation. "No one has the strength to face natural disasters, since we are in the government, it is our responsibility to deal with it as much as possible," he said.
Aug 28, 2025 04:24 PM
Indian Army's Cheetah helicopters airlift 27 people to safety in flood-hit Punjab's Gurdaspur
Aug 28, 2025 03:18 PM
Water level breaches danger mark at Pong Dam
Aug 28, 2025 02:44 PM
Haryana CM Nayab Singh Saini writes to Punjab CM
Haryana CM Nayab Singh Saini writes to Punjab CM Bhagwant Mann, extending help and assistance to Punjab as the state faces a flood situation.

Aug 28, 2025 02:08 PM
Indian Army to takeover rescue operation in Sultanpur Lodhi, to arrive shortly
Aug 28, 2025 01:22 PM
BJP suspends public welfare camps in view of flood situation
The Punjab BJP has suspended its public welfare camps established under the banner of 'sevadaar tuhaade dvaar' until further notice, in view of the flood situation in Punjab.
Party state President Sunil Jakhar while confirming the development said that the party will resume the camps once the situation gets better.
Aug 28, 2025 01:17 PM
Indian Army swings into action, deploys heavy-duty amphibious vehicles for rescue operation
The Indian Army has deployed the advanced ATOR N1200 Specialist Mobility Vehicles (SMVs) in the flood-affected regions of Punjab, including Amritsar, Pathankot, Gurdaspur, and Dera Baba Nanak.
Aug 28, 2025 01:15 PM
Food control centres established in Jalandhar
Flood control centre has been established in Jalandhar's circuit house, however ground report suggests that the centre lacks infrastructure.
Aug 28, 2025 12:17 PM
Kapurthala DC appeals evacuation to secure places
The Deputy Commissioner, Kapurthala has appealed the people to move to secured placed in view of the rising water levels in Beas river. They have been directed to reach out the authorities and contact on the given helpline numbers. In case of emergency, relief centers have been set up at the Lakh Varianh Government School in Sultanpur Lodhi and at the Gurdwara Sahib in Mand Kuka for the people of the Mand area of Dhilwan
District level helpline numbers:
01822-231990 , 62800-49331
Sultanpur Lodhi helpline number
01828-222169
Bholath helpline number
01822-271829 ਸੰ
Aug 28, 2025 12:08 PM
Over 48 villages in Sultanpur Lodhi constituency submerged, thousands acres of crops destroyed
Aug 28, 2025 11:49 AM
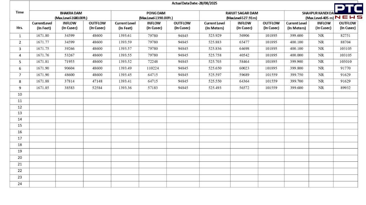
Water levels in Punjab dams and rivers


Aug 28, 2025 11:46 AM
1,10,000 cusecs of water to be released from Pong Dam
1,10,000 cusecs of water to be released from Pong Dam into the Beas River on August 28
Aug 28, 2025 11:30 AM
Rivers in full spate, people swept away ; watch ground report
Aug 28, 2025 11:27 AM
Aug 28, 2025 11:19 AM
Amritsar flood crisis: 40 villages submerged in Ramdass-Ajnala belt
Aug 28, 2025 11:18 AM
30 to 40 laborers are trapped in the Kerala International School
At least 30 to 40 labourers have been trapped in the Kerala International School located on Sahle Chak Road near Kalanur in Punjab's Gurdaspur. NDRF team have reached the spot to carry out rescue operation
Aug 28, 2025 11:16 AM
Flood gates of Bhakhra dam opened
In view of the flood-like situation in Punjab all the four floodgates of Bhakhra Dam have been opened four feet each
Aug 28, 2025 11:05 AM
Aug 28, 2025 11:04 AM
- Water level in Sutlej River increases by 4600 cusecs
- The surge in water level has been reported after Nangal Dam released 30550 cusecs water
- Earlier 25900 cusecs water was being released into the Sutlej river
Aug 28, 2025 11:03 AM
Ground report
PTC News Desk: Flash floods triggered by torrential rains have wreaked havoc in Punjab with large scale destruction reported across several districts. Villages situated along India-Pakistan border have been completely submerged.
Incessant rainfalls in Punjab have raise alarming concerns putting border districts on the edge, including Amritsar, Pathankot, Gurdaspur among severely affected.
Punjab has received 243% more rainfall in past 24 hours. Earlier on Wednesday Punjab Chief minister Bhagwant Mann formed a flood management committee in view of the situation.